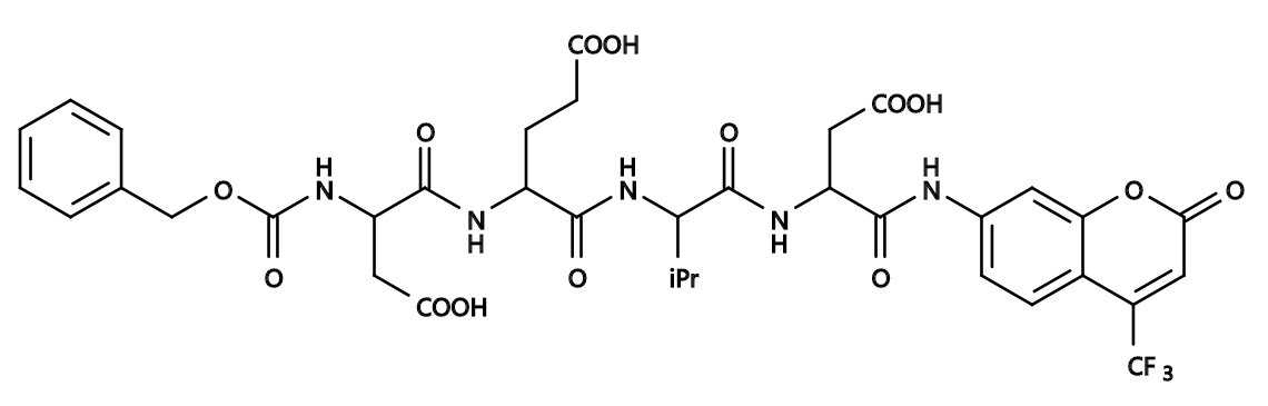
苏州北科纳米科技有限公司生产销售“Z-DEVD-AFC|Z-DEVD-7-酰胺基-4-三氟甲基香豆素”“分子量:821.71,激发(nm):376,发射(nm):482,Z-DEVD-AFC是caspase 3的荧光底物,caspase 3是一种蛋白酶,当细胞暴露于凋亡条件下时会迅速活化,并裂解聚ADP-核糖聚合酶。该底物被胱天蛋白酶3水解以产生高荧光的7-酰胺基-4-三氟甲基香豆素(AFC)”,该产品仅用于科研,如果需要请联系我们
| 参数信息 |
| 外观状态: |
固体或粉末 |
| 质量指标: |
95%+ |
| 溶解条件: |
有机溶剂/水 |
| CAS号: |
N/A |
| 分子量: |
N/A |
| 储存条件: |
-20℃避光保存 |
| 储存时间: |
1年 |
| 运输条件: |
室温2周 |
| 生产厂家: |
苏州北科纳米科技有限公司 |
| Warm tips: Suzhou Beike nano products are only used for scientific research, not for human body,different batches of products have different specifications and performance |
Message
|
|
 |
Scan code concerns WeChat official account
QQCommunication group:1092348845
|
|
| Warm tips: Suzhou Beike nano products are only used for scientific research, not for human body,different batches of products have different specifications and performance.The website pictures are from the Internet. The pictures are for reference only. Please take the real object as the standard. In case of infringement, please contact us to delete them immediately. |