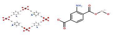
材料名称:NH2-MIL-53(Al)
其他名称:NA
CAS:1134360-62-5
结构信息
单位分子式
C8H5NO5Al
单位分子量
222.11
配位金属
Al
配体
2-氨基对苯二甲酸(CAS:10312-55-7)
孔径
0.8nm; 1.3nm
孔容
0.5 cm3/g
比表面
BET比表面 950 m2/g,
模拟结构
产品性状
产品形貌
白色粉末
White Powder
粒径
100nm 或 500nm
稳定性
1) NH2-MIL-53(Al)在空气中较稳定,在水溶液和碱性条件较为稳定
2)高热稳定性、热分解温度大于400℃
保存和活化方法
1) 常温或低温条件下,干燥密封保存
2) 建议使用前150度(真空)烘箱活化3小时
其他特性
荧光:NA
应用领域
1) 气体(如二氧化碳)和污染物吸附
2) 作为路易斯酸催化剂
表征图谱

参考文献
1)Ahnfeldt, T., Gunzelmann, D., Loiseau, T., Hirsemann, D., Senker, J., Férey, G., Stock, N. Inorg. Chem.2009,48,7, 3057-3064; doi: 10.1021/ic8023265
2)Gascon, J.; Aktay, U.; Hernandez-Alonso, Maria D.; van K., Gerard P. M.; Kapteijn, F., Journal of Catalysis (2009), 261 (1), 75-87
留言咨询
|
|
 |
| 生物纳米材料前沿 |
 |
| 纳米医学Frontier |
|
| 温馨提示:网站部分素材源自网络,仅供学术交流勿做其他用途,如有侵权请联系我们立即删除。苏州北科纳米供应产品仅用于科研,不能用于人体,不同批次产品规格性能有差异。 |