材料名称:MOF-253(Al)
其他名称:MIL-53(Al)-DCBPy; Al(OH)(dcbpy)
CAS:1251862-76-6
结构信息
单位分子式
C12H6N2O5Al
单位分子量
285.16794
配位金属
Al
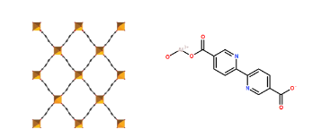
配体
联吡啶二甲酸(CAS:1802-30-8)
孔径
垂直孔道:1.0nm*1.5nm
孔容
0.9 cm3/g
比表面
BET比表面 1100 m2/g
模拟结构
产品性状
产品形貌
白色粉末
White Powder
粒径
不规则片块或棒状颗粒
稳定性
1) MIL-253(Al)在干燥空气中可以稳定保存数周。在潮湿空气中不稳定,在水溶液中不稳定。
2) 高热稳定性、热分解温度大于300℃
保存和活化方法
1) 常温或低温条件下,干燥密封保存
2) 建议使用前150度(真空)烘箱活化3小时
其他特性
荧光:NA
应用领域
1) 气体和污染物吸附
2) MOF-253的联吡啶单体结构,可与Pt、Pd、Cu等金属配位,合成相应的催化剂应用于光催化和各类路易斯酸催化
表征图谱

参考文献
1) Bloch, E. D.; Britt, D.; Lee, C.; Doonan, C. J.; Uribe-Romo, F. J.; Furukawa, H.; Long, J. R.; Yaghi, O. M. J.
Am. Chem. Soc. 2010, 132, 14382−14384, DOI: 10.1021/ja106935d
2) Deng, X.; Qin, Y.; Hao, M.; Li, Z.; Inorg. Chem. 2019, 58, 24, 16574–16580, DOI: acs.inorgchem.9b02593
留言咨询
|
|
 |
| 生物纳米材料前沿 |
 |
| 纳米医学Frontier |
|
| 温馨提示:网站部分素材源自网络,仅供学术交流勿做其他用途,如有侵权请联系我们立即删除。苏州北科纳米供应产品仅用于科研,不能用于人体,不同批次产品规格性能有差异。 |