材料名称:MIL-53(Fe)
其他名称:NA
CAS:764608-47-1
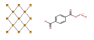
结构信息
单位分子式
C8H4O5Fe
单位分子量
235.96
配位金属
Fe
配体
对苯二甲酸(CAS:100-21-0)
孔径
孔容
比表面
N2 BET比表面 无法测出
模拟结构
产品性状
产品形貌
黄褐色粉末
Orange Powder
粒径
300-600nm
稳定性
1) MIL-53(Fe)在空气中稳定,在水溶液及酸性条件下中稳定
2) 高热稳定性、热分解温度大于300℃
保存和活化方法
1) 常温或低温条件下,干燥密封保存
2) 建议使用前150度(真空)烘箱活化3小时
其他特性
荧光:NA
应用领域
1) 气体(如二氧化碳)和污染物吸附
2) 作为路易斯酸催化剂具有良好的催化性能
表征图谱

参考文献
1)T. R. Whitfield, X. Q. Wang, L. M. Liu, A. J. Jacobson, Solid State Sci 2005, 7, 1096-1103, DOI: 10.1016/j.solidstatesciences.2005.03.007
留言咨询
|
|
 |
| 生物纳米材料前沿 |
 |
| 纳米医学Frontier |
|
| 温馨提示:网站部分素材源自网络,仅供学术交流勿做其他用途,如有侵权请联系我们立即删除。苏州北科纳米供应产品仅用于科研,不能用于人体,不同批次产品规格性能有差异。 |